숟가락 그만 얹어
Deep Factors 본문
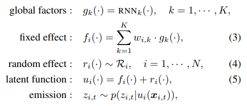
딥러닝으로 time-series 간의 complex pattern을 학습하고 probablisitc modelling을 결합하는 방식은 DeepAR과 같지만, Deep Factors에서는 time-series의 global pattern과 item 각각의 local pattern을 명시적으로 구분한다.

Global pattern은 RNN으로 계산하고 (global factors), item 별로 각각 다른 weights를 두어 local pattern (fixed effect)을 학습한다. 논문에선 DeepAR보다 좋은 성능을 보였으나 Gluon-ts에서 제공하는 Deep Factors를 써보면 학습이 잘 안된다. Fixed effect부터 잘 작동하는지 검증해보고 싶긴 한데...
References
[1] Y. Wang et al., Deep Factors for Forecasting, ICML 2019
'Research > Forecasting' 카테고리의 다른 글
| N-BEATS (0) | 2020.09.04 |
|---|---|
| DeepAR (0) | 2020.08.14 |
| The M4 Forecasting Competition: A Practitioner’s View (0) | 2020.07.19 |